引言:
随着锂离子电池在动力汽车及混合动力汽车行业的广泛应用,锂离子电池的性能要求越来越高。目前富锂层状正极材料以其超高的比容量(>250mAh/g)使得其最有发展前景,但是其较差的循环性能和倍率性能限制了其发展。为了提升其性能,研究工作者做出了大量的努力,探索出了不同的合成方法以及各种改性方法。其中改性方法以表面修饰最为常见,但是常规的表面修饰无法深入到主晶内部结构,无法根本解决材料由层状向尖晶石的转化,对其循环性能的提升也并不明显。该课题组用简单的共沉淀方法合成了层状富锂材料,并引用了Al和F双元素的掺杂,从根本上深入材料的内部晶体结构进行改性,提升了其综合电化学性能。

图1 XRD图谱和拉曼光谱
图1表明,样品具有典型的富锂层状材料的结构,Al、F共掺杂不会影响材料的晶体结构;拉曼光谱中423的峰位对应材料中Li2MnO3相。
表1 不同掺杂模式下的晶格参数

表1说明,Al、F共掺杂不会破坏材料原有的结构,而且双元素掺杂以后,其(003)晶面间距最大,降低了锂离子传输的势垒,有利于锂离子的嵌入和脱出。

图2 Li1.2Ni0.13Co0.13-xMn0.54AlxO2(1-y)F2y,(a,b)x=0,y=0;(c,d)x=0.01,y=0;
(e,f)x=0, y=0.03;(g,h)x=0.01,y=0.03
图3为其形貌图,材料为2~2.5μm的球状粒子,表面又由一次小粒子组成,为典型的微米-纳米二级结构。面扫描表明Al、F元素均已成功掺杂进入材料,元素分布较均匀。


图3 Li1.2Ni0.13Co0.13-xMn0.54AlxO2(1-y)F2y材料的充放电曲线(0.5C)(a) x=0,y=0; (b) x=0.01, y=0;(c)x=0, y=0.03; (d)x=0.01, y=0.03(e)循环性能;(f)平均电压;(i-iv)同(a-b)
由上图的充放电曲线,掺杂元素Al、F的材料比未参杂的材料循环性能要好,其中Al、F双掺杂的性能最优,未掺杂材料150圈之后容量保持率77.3%(由220mAh/g到170mAh/g);双掺杂材料150圈之后容量保持率88.2%(由246mAh/g到217mAh/g)。Al、F共掺杂材料的尖晶石转化现象明显比未参杂的材料要弱很多,电压平台下降最缓慢,表面Al、F共参杂能有效抑制材料由层状相像尖晶石相转化,从而提高了其循环性能;另外,Al、F掺杂较F参杂的容量有所提升。

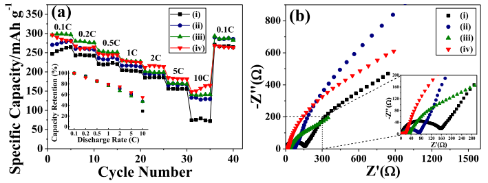
图4 (a)倍率曲线;(b)交流阻抗图谱;(i-iv)同图4(a-b)
共掺杂以后材料的倍率性能也得到一定提升,尤其是大倍率下最为明显,未参杂材料10C下比容量为75mAh/g,双参杂材料10C下为157mAh/g。阻抗测试表明双参杂材料的电阻最小,有利于的锂离子的运动迁移。
本文利用新式的简单共沉淀方法合成了均一形貌的球形微米-纳米二级结构的富锂层状材料。研究表明,Al、F掺杂对材料的电化学性能提升明显,使获得了更高的比容量,更好的循环性能以及倍率性能,且比Al、F单独掺杂时性能更加优异。说明Al、F双元素掺杂能产生协同作用,进一步提升材料的性能。这一工作为下一代的锂离子电池和金属锂二次电池的研究提供了一个新的思路。